习题集
- 多元函数复合求导
- 求全微分 dz
- 多元函数微分学的几何应用:
- 空间曲线的切线与法平面
- 曲面的切平面与法线
- 方向导数
- 计算
- 例题:
- 未解之难题
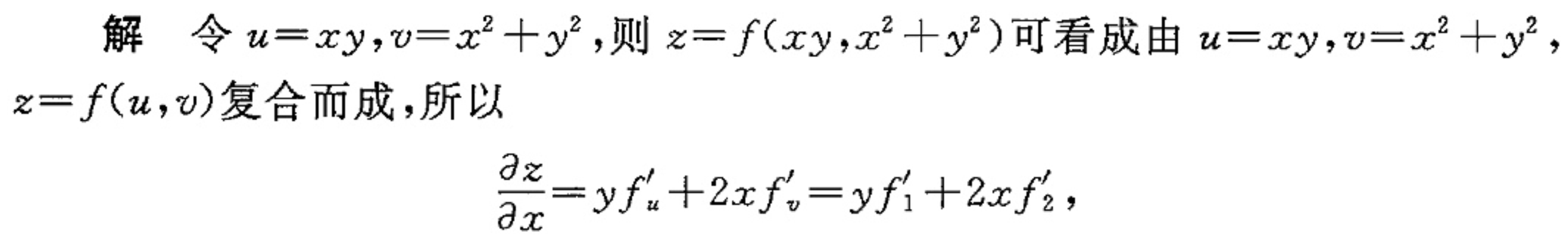
多元函数复合求导
我们只需要令 u(x) 和 v(x) 与其中的 对应
之后求导即可, 之后我们算出来的偏导需要再乘上 f‘1 和 f’2
求全微分 dz
根据公式 dz = Zxdx+ Zydy
多元函数微分学的几何应用:
空间曲线的切线与法平面
在某一点处的切线
在某点处的法平面
曲面的切平面与法线
在某点的切平面
在某点的法线
法线例题:
方向导数
沿某方向的变化率
计算
例题:
未解之难题
直接带入即可
sb了 真艹了
