目录
- 线性表
- 循环队列
- 入队操作:
- 稀疏矩阵压缩存储方法
- 三元顺序表
- 例题:
- 快速转置法
- 广义表
- 取Tail操作
- 取表头操作:
- 只有单个元素的表头 取操作
- 第六章 树和二叉树
- 一些基本概念
- 二叉树
- 二叉树的性质:
- 满二叉树
- 完全二叉树
- 存储结构
- 遍历二叉树
- 二叉树求表达式
- 由结点线序遍历和中序遍历 构造对应的二叉树
- 按先序遍历序列建立二叉树
- 树和森林
- 树的存储方式
- 二叉树和树的转换
- 树的遍历
- Huffman树
- 树的习题
- 图
- 一些概念:
- 遍历图(DFS,BFS)
- 最小生成树
- 拓扑排序
- 关键路径(最长路径)
- 最短路径
- 查找
- 顺序查找
- 折半查找法
- 分块查找法
- 动态查找表
- 二叉排序树
- 删除操作
- 平衡二叉树
- 动态查找表
- 哈希表
- 内部排序
- 直接插入排序
- 希尔排序(缩小增量法)
- 快速排序
- 堆排序(最坏情况下 Onlogn)
- 二路归并:(nlogn 稳定的排序算法)
- 结论:
- 杂项
线性表
线性表是具有n个 数据元素 的有限序列(n>0)
循环队列
假设A[]存放循环队列的元素 其头尾指针分别为front和rear则队列中的元素个数为(rear-front+m )%m
入队操作:
循环队列存储数组A[] 入队时候的操作为 rear = (rear +1) mod(m+1)
稀疏矩阵压缩存储方法
三元顺序表
当计算所需字节数的时候
别忘记上 第0行的 三个字节
例题:
快速转置法
广义表
取Tail操作
取表头操作:
只有单个元素的表头 取操作
第六章 树和二叉树
一些基本概念
结点的度 : 结点所连孩子的数量
- 树的度 : 一棵树中最大的结点度数
- 树的深度 : 树中结点的最大层数
二叉树
二叉树不是树的特殊情况,他们是不同的概念
二叉树的性质:
- 性质1 : 在二叉树第i层上 最多有2^(i-1)结点(画一个短的二叉树就可以发现了)
- 性质2 : 深度为k的二叉树至多有2^k - 1 个结点
- 性质3 : 对任何一棵二叉树T , 其终端结点数为n[0] 度为2的结点数为 n[2] ,则n[0] = n[2]+1
满二叉树
满结点的二叉树 为 满二叉树
是 完全二叉树 的特例
完全二叉树
特点;
所有的叶节点 都出现在第K层或K-1层
- 性质4: 具有n个结点的完全二叉树的深度为 [log2|n] +1
答案: 501
存储结构
顺序存储结构
就和 树状数组一样
链式存储结构
二叉链表(左右孩子)
三叉链表(左右孩子双亲)
线索链表
遍历二叉树
-
投影法求前中后遍历
-
层次遍历
二叉树求表达式
由结点线序遍历和中序遍历 构造对应的二叉树
按先序遍历序列建立二叉树
树和森林
树的存储方式
1.双亲表示法
2.孩子表示法
3.孩子兄弟表示法
二叉树和树的转换
树转换成二叉树
树转换成二叉树 反过来即可
左孩子代表 是孩子结点
右孩子代表 是兄弟结点
森林转换成二叉树
先将森林转换成二叉树
森林转换成二叉树 反过来即可
然后以第一个二叉树为根节点直接拼接上即可
树的遍历
先根遍历:
先访问根节点在访问子树
后根遍历:
先访问子树再访问根节点
Huffman树
-
计算wpl
-
构建Huffman树
树的习题
图
一些概念:
连通分量
非连通图的极大连通子图
含有n个结点的有向完全图 边数为:
n*(n-1)
有向图则是 /2
邻接多重表 用于表示 无向图
十字链表 用于 存储表示 有向图
遍历图(DFS,BFS)
最小生成树
prim算法
Kruskal算法
排序 --> 放
拓扑排序
记录入度 入度为0 继续while
关键路径(最长路径)
最短路径
查找
顺序查找
折半查找法
分块查找法
分块最好是分成 √n
动态查找表
二叉排序树
构建 小的放左 大的放右
删除操作
如果有只有一个孩子 直接把孩子拿上来即可
如果有两个孩子 那么比较一下 放着即可
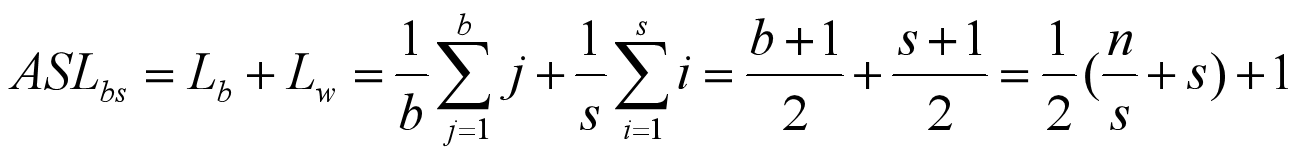
ASL
当前层数 * 结点个数 / 结点总数
平衡二叉树
ASL 是 log 级别的
左旋右旋
动态查找表
哈希表
- 除留余数法
处理冲突
- 链地址法
内部排序
直接插入排序
将数一个一个插入到表中
每次插入都需要判断插前 or 插后
折半插入排序
就是利用 二分让他找的更快而已
希尔排序(缩小增量法)
每次将距离为d的分组 然后对组内排序
依次缩小d 最后合并
快速排序
选择关键字 然后将大于他的放左边 小于他的放右边
最后在对后面的区间进行同样的操作即可
堆排序(最坏情况下 Onlogn)
-
如何由一个无序序列建成一个堆
-
如何在输出堆顶元素之后调整剩余元素使之成为一个新的堆
取ans
将堆顶元素和末尾元素交换 堆顶元素弹出
现在的栈顶元素 和 左右子树较小的根结点互换 一路下取即可
建堆
以序列第一个元素为根建立二叉树,如果当前元素大于根结点则放左边,否则放右边
然后我们从n/2 -> 1 个结点 处理 将当前结点进行交换处理 如果比自己小那么我们就交换
二路归并:(nlogn 稳定的排序算法)
也是分组然后合并
结论:
直接插入排序最快
在基本有序或n值较小的情况下
简答排序是稳定的
直接插入排序
折半插入排序
冒泡排序
简单选择排序
杂项
顺序存储方式 并不仅仅用于 存储线性结构
(用数组来存树形结构(非线性))
