目录
- 矩阵习题
- 习题1
- 习题2:
- 习题3
- 习题4:
- 习题5:
- 初等行变换习题
- 习题1:
- 习题2
- 习题3
- 向量相关性习题
- 习题1
- 习题2
- 最大无关组 和 向量表示
- 这是线性表示
- 习题3
矩阵习题
习题1
不存在除法 只有乘逆矩阵
另外 A^(-1) = 1/|A|
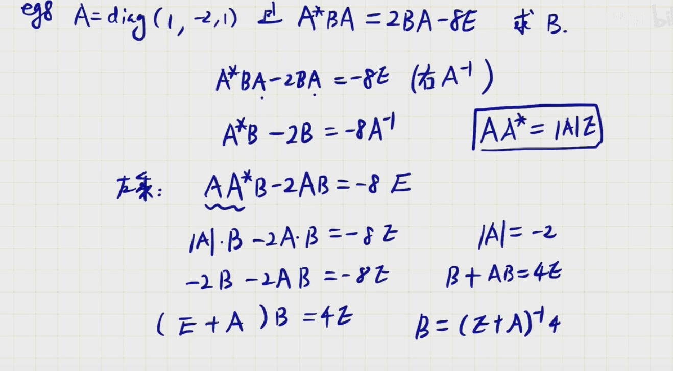
习题2:
公式 AA* = |A| E 的运用
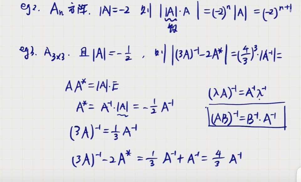
习题3
证明可逆
证明可逆也就是 需要求出
A X (?) = E
配凑 提公因式
习题4:
习题5:
相当于解方程
初等行变换习题
习题1:
化成行阶梯型
习题2
算逆矩阵 和 解方程
习题3
行列式
无解 唯一解 无穷解
- D!=0 的时候 唯一解 (克莱姆法则)
- 剩下的要看增广矩阵 (A,b)
(无解: R(A) < R(A,b) )
(无穷解 : )
向量相关性习题
习题1
证明 两个向量等价
B= A*P
|P| ! =0
所以A和B可以互相的线性表示
习题2
最大无关组 和 向量表示
- 化到行最简
- 最大无关组 就是 行阶梯的第一个
这是线性表示
习题3
Ax=b 的通解
