A Verifiable Secret Shuffle of Homomorphic Encryptions为Jens Groth 2010年论文,提出了多个算法:
- 基于a commitment containing a permutation of a set of publicly known messages的证明算法。
- 基于密文(具有同态属性加密的密文)的shuffle证明算法【7-move public coin HVZK argument】,该算法具有如下特点:
1)argument size与所使用的加密系统无关,且比shuffle本身的size也要小;
2)使用了multi-exponentiation和batch-verification技术。
3)基于Neff[36]样式,无需trusted setup:polynomials being identical under permutation of their roots。 - 基于a combined shuffle-and-decrypt operation正确性的证明算法。【该算法可用于采用EIGamal encryption构建的mix-nets的decrypt。将shuffle和decrypt combine一起比分别单独操作可节约计算资源。】
1. homomorphic cryptosystems同态加密系统
1.1 Homomorphic Encryption 同态加密
满足要求的有Paillier encryption[45]和EIGamal encryption[16]。
1.2 Homomorphic Commitment
commitment应具有hiding和binding属性。满足要求的有Pedersen commitment:
c
=
c
o
m
c
k
(
m
1
,
⋯
,
m
n
;
r
)
=
g
1
m
1
⋯
g
n
m
n
h
r
c=com_{ck}(m_1,\cdots,m_n;r)=g_1^{m_1}\cdots g_n^{m_n}h^r
c=comck(m1,⋯,mn;r)=g1m1⋯gnmnhr。
2. shuffle of known contents 明文shuffle证明。
Common input:commit key
c
k
ck
ck 和 messages
m
1
,
⋯
,
m
n
m_1,\cdots,m_n
m1,⋯,mn。
Witness:permutation
π
\pi
π 和 randomizer
r
r
r。
Prover:
c
=
c
o
m
c
k
(
m
π
(
1
)
,
⋯
,
m
π
(
n
)
;
r
)
c=com_{ck}( m_{\pi(1)},\cdots,m_{\pi(n)};r)
c=comck(mπ(1),⋯,mπ(n);r)。
证明:
c
c
c为messages
m
1
,
⋯
,
m
n
m_1,\cdots,m_n
m1,⋯,mn的 shuffle commitment。
基本原理有:多项式
p
(
X
)
=
∏
i
=
1
n
(
m
i
−
X
)
p(X)=\prod_{i=1}^{n}(m_i-X)
p(X)=∏i=1n(mi−X) is stable under permutation of the roots for any permutation
π
\pi
π,即
p
(
X
)
=
∏
i
=
1
n
(
m
i
−
X
)
=
∏
i
=
1
n
(
m
π
(
i
)
−
X
)
p(X)=\prod_{i=1}^{n}(m_i-X)= \prod_{i=1}^{n}(m_{\pi(i)}-X)
p(X)=∏i=1n(mi−X)=∏i=1n(mπ(i)−X)
转为证明:witness
μ
1
,
⋯
,
μ
n
,
r
\mu_1,\cdots,\mu_n,r
μ1,⋯,μn,r使得
c
=
c
o
m
c
k
(
μ
1
,
⋯
,
μ
n
;
r
)
c=com_{ck}(\mu_1,\cdots,\mu_n;r)
c=comck(μ1,⋯,μn;r),
∏
i
=
1
n
(
m
i
−
X
)
=
∏
i
=
1
n
(
μ
i
−
X
)
\prod_{i=1}^{n}(m_i-X)= \prod_{i=1}^{n}(\mu_i-X)
∏i=1n(mi−X)=∏i=1n(μi−X)成立,由于working over a field
Z
q
\mathbb{Z}_q
Zq,等式成立意味着存在permutation
π
\pi
π,使得
μ
i
=
m
π
(
i
)
\mu_i=m_{\pi(i)}
μi=mπ(i)。
Verifier给Prover:random challenge
x
∈
Z
q
x\in\mathbb{Z}_q
x∈Zq。
转为证明:
∏
i
=
1
n
(
m
i
−
x
)
=
∏
i
=
1
n
(
μ
i
−
x
)
\prod_{i=1}^{n}(m_i-x)= \prod_{i=1}^{n}(\mu_i-x)
∏i=1n(mi−x)=∏i=1n(μi−x)
整体思路为:
1)证明knowledge of opening
μ
1
,
⋯
,
μ
n
,
r
\mu_1,\cdots,\mu_n,r
μ1,⋯,μn,r of
c
c
c。借助sigma-protocol思路:
- Prover: commit to random d 1 , ⋯ , d n d_1,\cdots, d_n d1,⋯,dn, c d = c o m c k ( d 1 , ⋯ , d n ; r d ) c_d=com_{ck}(d_1,\cdots,d_n;r_d) cd=comck(d1,⋯,dn;rd)。Prover将 c d c_d cd发送给Verifier。
- Verfier: Challenge e e e。
- Prover:for i = 1 , ⋯ , n i=1,\cdots,n i=1,⋯,n,计算 f i = e μ i + d i , z = e r + r d f_i=e\mu_i+d_i,z=er+r_d fi=eμi+di,z=er+rd,将 f 1 , ⋯ , f n , z f_1,\cdots,f_n,z f1,⋯,fn,z发送给Verifier。
- Verifier:验证 c e c d = c o m c k ( f 1 , ⋯ , f n ; z ) c^ec_d=com_{ck}(f_1,\cdots,f_n;z) cecd=comck(f1,⋯,fn;z)成立,即完成证明knowledge of opening μ 1 , ⋯ , μ n , r \mu_1,\cdots,\mu_n,r μ1,⋯,μn,r of c c c。
2)Verifier收到
f
1
,
⋯
,
f
n
f_1,\cdots,f_n
f1,⋯,fn后,构建
f
i
−
e
x
=
e
(
μ
i
−
x
)
+
d
i
f_i-ex=e(\mu_i-x)+d_i
fi−ex=e(μi−x)+di,有
∏
i
=
1
n
(
f
i
−
e
x
)
=
e
n
∏
i
=
1
n
(
μ
i
−
x
)
+
p
n
−
1
(
e
)
\prod_{i=1}^{n}(f_i-ex)=e^n\prod_{i=1}^{n}(\mu_i-x)+p_{n-1}(e)
∏i=1n(fi−ex)=en∏i=1n(μi−x)+pn−1(e),其中
p
n
−
1
(
⋅
)
p_{n-1}(\cdot)
pn−1(⋅)为
n
−
1
n-1
n−1阶多项式。
转为证明
∏
i
=
1
n
(
f
i
−
e
x
)
=
e
n
∏
i
=
1
n
(
μ
i
−
x
)
+
p
n
−
1
(
e
)
=
e
n
∏
i
=
1
n
(
m
i
−
x
)
+
p
n
−
1
(
e
)
\prod_{i=1}^{n}(f_i-ex)=e^n\prod_{i=1}^{n}(\mu_i-x)+p_{n-1}(e)=e^n\prod_{i=1}^{n}(m_i-x)+p_{n-1}(e)
∏i=1n(fi−ex)=en∏i=1n(μi−x)+pn−1(e)=en∏i=1n(mi−x)+pn−1(e),由于
e
e
e为随机选择的,即可证明
∏
i
=
1
n
(
m
i
−
x
)
=
∏
i
=
1
n
(
μ
i
−
x
)
\prod_{i=1}^{n}(m_i-x)= \prod_{i=1}^{n}(\mu_i-x)
∏i=1n(mi−x)=∏i=1n(μi−x)成立。
为了证明
∏
i
=
1
n
(
f
i
−
e
x
)
=
e
n
∏
i
=
1
n
(
m
i
−
x
)
+
p
n
−
1
(
e
)
\prod_{i=1}^{n}(f_i-ex)=e^n\prod_{i=1}^{n}(m_i-x)+p_{n-1}(e)
∏i=1n(fi−ex)=en∏i=1n(mi−x)+pn−1(e),思路如下:
- Prover:commit to random
Δ
1
,
Δ
2
,
⋯
,
Δ
n
−
1
,
Δ
n
\Delta_1,\Delta_2,\cdots,\Delta _{n-1},\Delta_n
Δ1,Δ2,⋯,Δn−1,Δn,其中
Δ
1
=
d
1
\Delta_1=d_1
Δ1=d1以保证后续的
F
1
=
f
1
−
e
x
F_1=f_1-ex
F1=f1−ex,
Δ
n
=
0
\Delta_n=0
Δn=0以保证后续的
F
n
=
e
∏
i
=
1
n
(
m
i
−
x
)
F_n=e\prod_{i=1}^{n}(m_i-x)
Fn=e∏i=1n(mi−x)。除
Δ
1
和
Δ
n
\Delta_1和\Delta_n
Δ1和Δn之外,其它
Δ
i
\Delta_i
Δi均为随机值。
因为构建的$ f Δ j = − e ∏ i = 1 j ( u i − x ) d j + 1 − e ( u j + 1 − x ) Δ j + e Δ j + 1 − Δ j d j + 1 = e ( Δ j + 1 − ( u j + 1 − x ) Δ j − ∏ i = 1 j ( u i − x ) d j + 1 ) − Δ j d j + 1 f_{\Delta_j}=-e\prod_{i=1}^{j}(u_i-x)d_{j+1}-e(u_{j+1}-x)\Delta_j+e\Delta_{j+1}-\Delta_jd_{j+1}=e(\Delta_{j+1}-(u_{j+1}-x)\Delta_j-\prod_{i=1}^{j}(u_i-x)d_{j+1})-\Delta_jd_{j+1} fΔj=−e∏i=1j(ui−x)dj+1−e(uj+1−x)Δj+eΔj+1−Δjdj+1=e(Δj+1−(uj+1−x)Δj−∏i=1j(ui−x)dj+1)−Δjdj+1,Prover需分别对 ( Δ j + 1 − ( u j + 1 − x ) Δ j − ∏ i = 1 j ( u i − x ) d j + 1 ) (\Delta_{j+1}-(u_{j+1}-x)\Delta_j-\prod_{i=1}^{j}(u_i-x)d_{j+1}) (Δj+1−(uj+1−x)Δj−∏i=1j(ui−x)dj+1)和 − Δ j d j + 1 -\Delta_jd_{j+1} −Δjdj+1进行commit: c Δ = c o m c k ( − Δ 1 d 2 , ⋯ , − Δ n − 1 d n ; r Δ ) c_{\Delta}=com_{ck}(-\Delta_1d_2,\cdots,-\Delta_{n-1}d_n;r_{\Delta}) cΔ=comck(−Δ1d2,⋯,−Δn−1dn;rΔ),
c a = c o m c k ( ( Δ 2 − ( u 2 − x ) Δ j − ∏ i = 1 1 ( u i − x ) d 2 ) , ⋯ , ( Δ n − ( u n − x ) Δ n − 1 − ∏ i = 1 n − 1 ( u i − x ) d n ) ; r a ) c_a=com_{ck}((\Delta_2-(u_2-x)\Delta_j-\prod_{i=1}^{1}(u_i-x)d_2),\cdots,(\Delta_n-(u_n-x)\Delta_{n-1}-\prod_{i=1}^{n-1}(u_i-x)d_n);r_a) ca=comck((Δ2−(u2−x)Δj−∏i=11(ui−x)d2),⋯,(Δn−(un−x)Δn−1−∏i=1n−1(ui−x)dn);ra)
Prover将 c Δ , c a c_{\Delta},c_a cΔ,ca发送给Verifier。 - Verifier:Challenge e e e。
- Prover:for
j
=
1
,
⋯
,
n
j=1,\cdots,n
j=1,⋯,n,构建
F
j
=
e
∏
i
=
1
j
(
μ
i
−
x
)
+
Δ
j
F_j=e\prod_{i=1}^{j}(\mu_i-x)+\Delta_j
Fj=e∏i=1j(μi−x)+Δj,其中
F
1
=
f
1
−
e
x
,
F
n
=
e
∏
i
=
1
n
(
m
i
−
x
)
F_1=f_1-ex,F_n=e\prod_{i=1}^{n}(m_i-x)
F1=f1−ex,Fn=e∏i=1n(mi−x),同时
F
j
(
f
j
+
1
−
e
x
)
=
(
e
∏
i
=
1
j
(
μ
i
−
x
)
+
Δ
j
)
(
e
u
j
+
1
+
d
j
+
1
−
e
x
)
=
(
e
∏
i
=
1
j
(
μ
i
−
x
)
+
Δ
j
)
(
e
(
u
j
+
1
−
x
)
+
d
j
+
1
)
=
e
2
∏
i
=
1
j
+
1
(
μ
i
−
x
)
+
e
Δ
j
+
1
−
f
Δ
j
=
e
F
j
+
1
+
f
Δ
j
F_j(f_{j+1}-ex)=(e\prod_{i=1}^{j}(\mu_i-x)+\Delta_j)(eu_{j+1}+d_{j+1}-ex)=(e\prod_{i=1}^{j}(\mu_i-x)+\Delta_j)(e(u_{j+1}-x)+d_{j+1})=e^2\prod_{i=1}^{j+1}(\mu_i-x)+e\Delta_{j+1}-f_{\Delta_j}=eF_{j+1}+f_{\Delta_j}
Fj(fj+1−ex)=(e∏i=1j(μi−x)+Δj)(euj+1+dj+1−ex)=(e∏i=1j(μi−x)+Δj)(e(uj+1−x)+dj+1)=e2∏i=1j+1(μi−x)+eΔj+1−fΔj=eFj+1+fΔj,其中
f
Δ
j
=
−
e
∏
i
=
1
j
(
u
i
−
x
)
d
j
+
1
−
e
(
u
j
+
1
−
x
)
Δ
j
+
e
Δ
j
+
1
−
Δ
j
d
j
+
1
f_{\Delta_j}=-e\prod_{i=1}^{j}(u_i-x)d_{j+1}-e(u_{j+1}-x)\Delta_j+e\Delta_{j+1}-\Delta_jd_{j+1}
fΔj=−e∏i=1j(ui−x)dj+1−e(uj+1−x)Δj+eΔj+1−Δjdj+1为
e
e
e的线性函数(一阶多项式)。
Prover将 f Δ 1 , ⋯ , f Δ n − 1 , z Δ = e r a + r Δ f_{\Delta_1},\cdots,f_{\Delta_{n-1}},z_{\Delta}=er_a+r_{\Delta} fΔ1,⋯,fΔn−1,zΔ=era+rΔ发送给Verifier。
⇒ e F j + 1 = F j ( f j + 1 − e x ) + f Δ j \Rightarrow eF_{j+1}=F_j(f_{j+1}-ex)+f_{\Delta_j} ⇒eFj+1=Fj(fj+1−ex)+fΔj,将该递归公式展开有: e n − 1 F n = ∏ i = 1 n ( f i − e x ) − p n − 1 ( e ) e^{n-1}F_n=\prod_{i=1}^{n}(f_i-ex)-p_{n-1}(e) en−1Fn=∏i=1n(fi−ex)−pn−1(e),其中 p n − 1 p_{n-1} pn−1为a degree n − 1 n-1 n−1 polynomial in e e e。 - Verifier:验证 e n − 1 F n = e n ∏ i = 1 n ( m i − x ) = ∏ i = 1 n ( f i − e x ) − p n − 1 ( e ) e^{n-1}F_n=e^n\prod_{i=1}^{n}(m_i-x)=\prod_{i=1}^{n}(f_i-ex)-p_{n-1}(e) en−1Fn=en∏i=1n(mi−x)=∏i=1n(fi−ex)−pn−1(e)成立,从而即可证明 ∏ i = 1 n ( m i − x ) = ∏ i = 1 n ( μ i − x ) \prod_{i=1}^{n}(m_i-x)= \prod_{i=1}^{n}(\mu_i-x) ∏i=1n(mi−x)=∏i=1n(μi−x)成立。
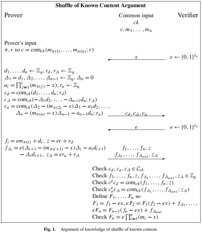
总的shuffle of known contents 明文shuffle证明算法实现为:
- Special Honest Verifier Zero-Knowledge:即Simulator可在不知道Witness:permutation
π
\pi
π 和 randomizer
r
r
r的情况下,在提前知道challenge
x
x
x和
e
e
e的情况下,可仿真使argument被verifier验证通过。下图的hybrid argument和simulate argument差别仅在
c
a
c_a
ca的内容不同,因commitment具有hiding属性,所以hybrid argument和simulate argument具有indistinguishability。
- Witness-Extended Emulation:
3. SHVZK Argument for Shuffle of Homomorphic Encryptions 基于密文(具有同态属性加密的密文)的shuffle证明算法
与第二节基于明文的shuffle情况不同,用于shuffle的为密文
e
1
,
⋯
,
e
n
e_1,\cdots,e_n
e1,⋯,en,而不再是明文了。
Common input:commit key
c
k
ck
ck、encrypted messages
e
1
,
⋯
,
e
n
e_1,\cdots,e_n
e1,⋯,en和shuffle后的密文
E
1
=
e
π
(
1
)
ε
p
k
(
1
;
R
1
)
,
⋯
,
E
1
=
e
π
(
n
)
ε
p
k
(
1
;
R
n
)
E_1=e_{\pi(1)}\varepsilon_{pk}(1;R_1),\cdots,E_1=e_{\pi(n)}\varepsilon_{pk}(1;R_n)
E1=eπ(1)εpk(1;R1),⋯,E1=eπ(n)εpk(1;Rn)。
Witness:permutation
π
\pi
π 和 randomizers
R
1
,
⋯
,
R
n
R_1,\cdots,R_n
R1,⋯,Rn。
证明:存在permutation
π
\pi
π 使得the plaintexts of
E
1
,
⋯
,
E
n
E_1,\cdots,E_n
E1,⋯,En和the plaintexts of
e
π
(
1
)
,
⋯
,
e
π
(
n
)
e_{\pi(1)},\cdots,e_{\pi(n)}
eπ(1),⋯,eπ(n)是相同的。
直观的思路是:若Prover可将permutation π \pi π 发送给Verifier,则Verifier可选择任意的随机值 t 1 , ⋯ , t n t_1,\cdots,t_n t1,⋯,tn发送给Prover;Prover发送 ∏ i = 1 n e i t i \prod_{i=1}^{n}e_i^{t_i} ∏i=1neiti;Verifer只需验证 ∏ i = 1 n e i t i = ∏ i = 1 n E i t π ( i ) \prod_{i=1}^{n}e_i^{t_i}=\prod_{i=1}^{n}E_i^{t_{\pi(i)}} ∏i=1neiti=∏i=1nEitπ(i)即可。
但是,若想保持permutation
π
\pi
π 不被泄露给Verifier,相应的实现思路为:
1)Prover: 对permutation
π
\pi
π进行commit:
c
=
c
o
m
c
k
(
π
(
1
)
,
⋯
,
π
(
n
)
;
r
)
c=com_{ck}(\pi(1),\cdots,\pi(n);r)
c=comck(π(1),⋯,π(n);r),其实就是对数字
1
,
⋯
,
n
1,\cdots,n
1,⋯,n的permutation commit。只需证明
c
c
c为a commit to a permutation of the numbers
1
,
⋯
,
n
1,\cdots,n
1,⋯,n,这样就可以保证the prover is bound to some permutation he knows, but the permutation remains hidden.
- Prover:选择随机值
−
d
1
,
⋯
,
−
d
n
-d_1,\cdots,-d_n
−d1,⋯,−dn,用于保护permutation
π
\pi
π不被reveal。
c
d
=
c
o
m
c
k
(
−
d
1
,
⋯
,
−
d
n
;
r
d
)
c_d=com_{ck}(-d_1,\cdots,-d_n;r_d)
cd=comck(−d1,⋯,−dn;rd)
Prover给Verfier发送 c d c_d cd。 - Verifier:challenges t 1 , ⋯ , t n t_1,\cdots,t_n t1,⋯,tn。
- Prover:对收到的
t
1
,
⋯
,
t
n
t_1,\cdots,t_n
t1,⋯,tn按相同的permutation
π
\pi
π进行permute,计算
f
i
=
t
π
(
i
)
+
d
i
f_i=t_{\pi(i)}+d_i
fi=tπ(i)+di。
Prover给Verifier发送 f 1 , ⋯ , f n f_1,\cdots,f_n f1,⋯,fn。
2)接下来要证明
f
i
f_i
fi have been formed correctly, using the same permutation
π
\pi
π that used to form
c
c
c。
Witness:
π
\pi
π
Common Input:
c
=
c
o
m
c
k
(
π
(
1
)
,
⋯
,
π
(
n
)
;
r
)
c=com_{ck}(\pi(1),\cdots,\pi(n);r)
c=comck(π(1),⋯,π(n);r),
(
f
1
,
⋯
,
f
n
)
(f_1,\cdots,f_n)
(f1,⋯,fn)【即
(
t
π
(
1
)
,
⋯
,
t
π
(
n
)
)
(t_{\pi(1)},\cdots,t_{\pi(n)})
(tπ(1),⋯,tπ(n))】以及
(
t
1
,
⋯
,
t
n
)
(t_1,\cdots,t_n)
(t1,⋯,tn)
证明:
(
f
1
,
⋯
,
f
n
)
(f_1,\cdots,f_n)
(f1,⋯,fn)中的permutation
π
\pi
π和commitment
c
c
c中的permutation
π
\pi
π是相同的。
- Verifier:challenge λ \lambda λ。
- Common input: 构建向量 ( m 1 , ⋯ , m n ) = ( λ ⋅ 1 + t 1 , ⋯ , λ ⋅ n + t n ) (m_1,\cdots,m_n)=(\lambda\cdot1+t_1,\cdots,\lambda\cdot n+t_n) (m1,⋯,mn)=(λ⋅1+t1,⋯,λ⋅n+tn)
- Prover:利用witness permutation
π
\pi
π 构建向量
(
m
π
(
1
)
,
⋯
,
m
π
(
n
)
)
=
(
λ
π
(
1
)
+
t
π
(
1
)
,
⋯
,
λ
π
(
n
)
+
t
π
(
n
)
)
(m_{\pi(1)},\cdots,m_{\pi(n)})=(\lambda\pi(1)+t_{\pi(1)},\cdots,\lambda\pi(n)+t_{\pi(n)})
(mπ(1),⋯,mπ(n))=(λπ(1)+tπ(1),⋯,λπ(n)+tπ(n)),引入随机值
ρ
\rho
ρ,Prover 计算
c
λ
=
c
o
m
c
k
(
λ
π
(
1
)
+
t
π
(
1
)
,
⋯
,
λ
π
(
n
)
+
t
π
(
n
)
;
ρ
)
=
c
o
m
c
k
(
(
m
π
(
1
)
,
⋯
,
m
π
(
n
)
)
;
ρ
)
c_{\lambda}=com_{ck}(\lambda\pi(1)+t_{\pi(1)},\cdots,\lambda\pi(n)+t_{\pi(n)};\rho)=com_{ck}((m_{\pi(1)},\cdots,m_{\pi(n)});\rho)
cλ=comck(λπ(1)+tπ(1),⋯,λπ(n)+tπ(n);ρ)=comck((mπ(1),⋯,mπ(n));ρ)。
Prover发送给Verifier c λ c_{\lambda} cλ。 - Verifier:
(1)利用commitment的加法同态性,验证 c λ = c λ c d c o m c k ( f 1 , ⋯ , f n ; 0 ) c_{\lambda}=c^{\lambda}c_dcom_{ck}(f_1,\cdots,f_n;0) cλ=cλcdcomck(f1,⋯,fn;0)成立;
(2)转为证明已知 c λ = c o m c k ( ( m π ( 1 ) , ⋯ , m π ( n ) ) ; ρ ) 和 ( m 1 , ⋯ , m n ) c_{\lambda}=com_{ck}((m_{\pi(1)},\cdots,m_{\pi(n)});\rho)和(m_1,\cdots,m_n) cλ=comck((mπ(1),⋯,mπ(n));ρ)和(m1,⋯,mn),证明Prover知道相应的permutation π \pi π和randomizer ρ \rho ρ,显然地,可以借助第二节的“shuffle of known contents 明文shuffle证明”来实现。
3)上述步骤1)和2)实现了permutation
π
\pi
π的不暴露证明。
最后需证明permutation
π
\pi
π 使得the plaintexts of
E
1
,
⋯
,
E
n
E_1,\cdots,E_n
E1,⋯,En和the plaintexts of
e
π
(
1
)
,
⋯
,
e
π
(
n
)
e_{\pi(1)},\cdots,e_{\pi(n)}
eπ(1),⋯,eπ(n)是相同的,则应满足
∏
i
=
1
n
e
i
t
i
∏
i
=
1
n
E
i
d
i
=
∏
i
=
1
n
E
i
f
i
\prod_{i=1}^{n}e_i^{t_i}\prod_{i=1}^{n}E_i^{d_i}=\prod_{i=1}^{n}E_i^{f_i}
∏i=1neiti∏i=1nEidi=∏i=1nEifi。
Prover:在收到challenge
t
1
,
⋯
,
t
n
t_1,\cdots,t_n
t1,⋯,tn之前,在发送
c
d
=
c
o
m
c
k
(
−
d
1
,
⋯
,
−
d
n
;
r
d
)
c_d=com_{ck}(-d_1,\cdots,-d_n;r_d)
cd=comck(−d1,⋯,−dn;rd)的同时,也发送
E
d
=
∏
i
=
1
n
E
i
−
d
i
ε
p
k
(
1
;
R
d
)
E_d=\prod_{i=1}^{n} E_i^{-d_i}\varepsilon_{pk}(1;R_d)
Ed=∏i=1nEi−diεpk(1;Rd)
Verifier:challenges
t
1
,
⋯
,
t
n
t_1,\cdots,t_n
t1,⋯,tn。
Prover:发送
Z
=
∑
i
=
1
n
t
π
(
i
)
R
i
+
R
d
Z=\sum_{i=1}^{n}t_{\pi(i)}R_i+R_d
Z=∑i=1ntπ(i)Ri+Rd。
Verifier: 验证
∏
i
=
1
n
e
i
−
t
i
∏
i
=
1
n
E
i
f
i
E
d
=
ε
p
k
(
1
;
Z
)
\prod_{i=1}^{n}e_i^{-t_i}\prod_{i=1}^{n}E_i^{f_i}E_d=\varepsilon_{pk}(1;Z)
∏i=1nei−ti∏i=1nEifiEd=εpk(1;Z)成立。
至此,整个算法细节如下:
4. 基于a combined shuffle-and-decrypt operation正确性的证明算法
针对的场景为:
mix-net中,选民会将其投票信息
m
m
m进行加密,加密后的投票信息会经多个mix-servers进行shuflle并证明信息未被篡改。最终统计选举结果时,需要对多个mix-servers shuffle后密文信息进行解密,查看明文的投票信息。
直观的做法是mix-servers先做shuffle和相应的证明,验证shuffle没有被篡改后,再依次调用各mix-servers进行threshold decryption,最终解密出明文投票信息。整个过程中,每个mix-server均需被激活两次。
若在shuffle的同时也做threshold decryption,则可将每个mix-server的激活次数降为1次,同时亦能节约计算资源。
以EIGamal encryption为例,假设有 N N N个mix-server服务器,每个服务器 j j j的私钥为 x j x_j xj,对应的公钥为 y j = g x j y_j=g^{x_j} yj=gxj,整个mix-net的public key 为 ( g , y 1 , ⋯ , y N ) (g,y_1,\cdots,y_N) (g,y1,⋯,yN)。假设共有 n n n个选民投票信息 m 1 , ⋯ , m n m_1,\cdots, m_n m1,⋯,mn,对选民的投票信息 m i m_i mi加密为: ( u i , v i ) = ( g r , ( ∏ j = 1 N y j ) r m i ) (u_i,v_i)=(g^r,(\prod_{j=1}^{N}y_j)^rm_i) (ui,vi)=(gr,(∏j=1Nyj)rmi)
- 第一个mix-server:输入为 ( u 1 , v 1 ) , ⋯ , ( u n , v n ) (u_1,v_1),\cdots,(u_n,v_n) (u1,v1),⋯,(un,vn),利用permutation π \pi π 和randmizers R 1 , ⋯ , R n R_1,\cdots,R_n R1,⋯,Rn进行shuffle并用其私钥 x 1 x_1 x1进行decrypt,结果为: ( U i , V i ) = ( g R i u π ( i ) , Y R i v π ( i ) u π ( i ) − x 1 ) (U_i,V_i)=(g^{R_i}u_{\pi(i)},Y^{R_i}v_{\pi(i)}u_{\pi(i)}^{-x_1}) (Ui,Vi)=(gRiuπ(i),YRivπ(i)uπ(i)−x1)【其中 Y = ∏ j = 2 N y j Y=\prod_{j=2}^{N}y_j Y=∏j=2Nyj】,同时为shuffle和decrypt操作提供证明。给第二个服务器传送密文 ( u i , v i ) = ( U i , V i ) , f o r i = 1 , ⋯ , n (u_i,v_i)= (U_i,V_i), for\ i=1,\cdots,n (ui,vi)=(Ui,Vi),for i=1,⋯,n。
- 第二个mix-server:输入为 ( u 1 , v 1 ) , ⋯ , ( u n , v n ) (u_1,v_1),\cdots,(u_n,v_n) (u1,v1),⋯,(un,vn),利用新的permutation π \pi π 和新的randmizers R 1 , ⋯ , R n R_1,\cdots,R_n R1,⋯,Rn进行shuffle并用其私钥 x 2 x_2 x2进行decrypt,结果为: ( U i , V i ) = ( g R i u π ( i ) , Y R i v π ( i ) u π ( i ) − x 2 ) (U_i,V_i)=(g^{R_i}u_{\pi(i)},Y^{R_i}v_{\pi(i)}u_{\pi(i)}^{-x_2}) (Ui,Vi)=(gRiuπ(i),YRivπ(i)uπ(i)−x2)【其中 Y = ∏ j = 3 N y j Y=\prod_{j=3}^{N}y_j Y=∏j=3Nyj】,同时为shuffle和decrypt操作提供证明。给第三个服务器传送密文 ( u i , v i ) = ( U i , V i ) , f o r i = 1 , ⋯ , n (u_i,v_i)= (U_i,V_i), for\ i=1,\cdots,n (ui,vi)=(Ui,Vi),for i=1,⋯,n。
- ⋮ \vdots ⋮
- 最后一个mix-server:shuffle并用私钥 x N x_N xN解密后即得相应的明文投票信息 m m m,并提供相应证明。为最终选举结果统计提供明文投票信息 m m m。
通用地,假设有
n
n
n个选民投票信息
m
1
,
⋯
,
m
n
m_1,\cdots,m_n
m1,⋯,mn,则mix-server
s
s
s收到的input ciphertexts of the form
(
u
1
,
v
1
)
,
⋯
,
(
u
n
,
v
n
)
(u_1,v_1),\cdots,(u_n,v_n)
(u1,v1),⋯,(un,vn) under the key
(
g
,
∏
j
=
s
N
y
j
)
(g,\prod_{j=s}^{N}y_j)
(g,∏j=sNyj),通过随机选择permutation
π
\pi
π和randomizers
R
1
,
⋯
,
R
n
R_1,\cdots,R_n
R1,⋯,Rn,对应的输出为
(
U
1
,
V
1
)
,
⋯
,
(
U
n
,
V
n
)
(U_1,V_1),\cdots,(U_n,V_n)
(U1,V1),⋯,(Un,Vn) under the key
(
g
,
Y
=
∏
j
=
s
+
1
N
y
j
)
(g, Y=\prod_{j=s+1}^{N}y_j)
(g,Y=∏j=s+1Nyj),输入与输出有如下对应关系:
U
i
=
g
R
i
u
π
(
i
)
,
V
i
=
Y
R
i
v
π
(
i
)
u
π
(
i
)
−
x
s
U_i= g^{R_i}u_{\pi(i)}, V_i= Y^{R_i}v_{\pi(i)}u_{\pi(i)}^{-x_s}
Ui=gRiuπ(i),Vi=YRivπ(i)uπ(i)−xs
然后需要为以上shuffle-and-decrypt操作正确性提供零知识证明。
在第三节SHVZK Argument for Shuffle of Homomorphic Encryptions 基于密文(具有同态属性加密的密文)的shuffle证明算法的基础上,增加了argue correctness of the partial decryption的算法——如prove knowledge of the secret key
x
s
x_s
xs and argue that it has been used to make partial decryptions。
总体思路为:
1)prove knowledge of the secret key
x
s
x_s
xs。借助sigma-protocol思路:
Common input: public key
y
s
=
g
x
s
y_s=g^{x_s}
ys=gxs。
Prover: 选择随机值
d
x
d_x
dx,发送
D
=
g
d
x
D=g^{d_x}
D=gdx。
Verifier:发送challenge
e
e
e。
Prover:发送
f
=
e
x
s
+
d
x
f=ex_s+d_x
f=exs+dx。
Verifier:验证
g
f
=
y
s
e
D
g^f=y_s^eD
gf=yseD成立即可。
2)利用第三节算法证明
(
U
1
,
⋯
,
U
n
)
=
(
g
R
1
u
π
(
1
)
,
⋯
,
g
R
1
u
π
(
n
)
)
(U_1,\cdots,U_n)=(g^{R_1}u_{\pi(1)},\cdots, g^{R_1}u_{\pi(n)})
(U1,⋯,Un)=(gR1uπ(1),⋯,gR1uπ(n)):
∏
i
=
1
n
U
i
f
i
=
∏
i
=
1
n
(
g
R
i
u
π
(
i
)
)
t
π
(
i
)
+
d
i
=
g
∑
i
=
1
n
(
t
π
(
i
)
R
i
)
+
R
d
∗
(
∏
i
=
1
n
u
i
t
i
)
∗
(
∏
i
=
1
n
U
i
d
i
g
−
R
d
)
\prod_{i=1}^{n}U_i^{f_i}=\prod_{i=1}^{n}(g^{R_i}u_{\pi(i)})^{t_{\pi(i)}+d_i}=g^{\sum_{i=1}^{n}(t_{\pi(i)}R_i)+R_d}*(\prod_{i=1}^{n}u_i^{t_i})*(\prod_{i=1}^{n}U_i^{d_i}g^{-R_d})
∏i=1nUifi=∏i=1n(gRiuπ(i))tπ(i)+di=g∑i=1n(tπ(i)Ri)+Rd∗(∏i=1nuiti)∗(∏i=1nUidig−Rd)
3)利用第三节算法证明
(
V
1
,
⋯
,
V
n
)
=
(
Y
R
1
v
π
(
1
)
u
π
(
1
)
−
x
s
,
⋯
,
Y
R
n
v
π
(
n
)
u
π
(
n
)
−
x
s
)
(V_1,\cdots,V_n)=( Y^{R_1}v_{\pi(1)}u_{\pi(1)}^{-x_s},\cdots, Y^{R_n}v_{\pi(n)}u_{\pi(n)}^{-x_s})
(V1,⋯,Vn)=(YR1vπ(1)uπ(1)−xs,⋯,YRnvπ(n)uπ(n)−xs)以及secret key
x
s
x_s
xs has been used to make partial decryptions。【引入
r
v
r_v
rv用于hiding
V
d
V_d
Vd,引入
d
v
d_v
dv用于hiding
U
U
U】
∏
i
=
1
n
V
i
f
i
=
∏
i
=
1
n
V
i
t
π
(
i
)
+
d
i
=
(
∏
i
=
1
n
(
Y
i
R
v
π
(
i
)
u
π
(
i
)
−
x
s
)
t
π
(
i
)
)
∗
(
∏
i
=
1
n
V
i
d
i
)
=
(
Y
∑
i
=
1
n
t
π
(
i
)
R
i
+
R
d
∗
∏
i
=
1
n
v
i
t
i
∗
(
∏
i
=
1
n
u
i
−
t
i
)
x
s
)
∗
(
∏
i
=
1
n
V
i
d
i
∗
Y
−
R
d
g
−
r
v
)
∗
g
r
v
\prod_{i=1}^{n}V_i^{f_i}=\prod_{i=1}^{n}V_i^{t_{\pi(i)}+d_i}=(\prod_{i=1}^{n}(Y^R_iv_{\pi(i)}u_{\pi(i)}^{-x_s})^{t_{\pi(i)}})*(\prod_{i=1}^{n}V_i^{d_i})=(Y^{\sum_{i=1}^{n}t_{\pi(i)}R_i+R_d}*\prod_{i=1}^{n}v_i^{t_i}*(\prod_{i=1}^{n}u_i^{-t_i})^{x_s})*(\prod_{i=1}^{n}V_i^{d_i}*Y^{-R_d}g^{-r_v})*g^{r_v}
∏i=1nVifi=∏i=1nVitπ(i)+di=(∏i=1n(YiRvπ(i)uπ(i)−xs)tπ(i))∗(∏i=1nVidi)=(Y∑i=1ntπ(i)Ri+Rd∗∏i=1nviti∗(∏i=1nui−ti)xs)∗(∏i=1nVidi∗Y−Rdg−rv)∗grv
为了同时验证secret key
x
s
x_s
xs has been used to make partial decryptions,上述等式左右两侧进行
e
e
e的幂乘,同时均乘以
g
d
v
∗
(
∏
i
=
1
n
u
i
−
t
i
)
x
d
g^{d_v}*(\prod_{i=1}^{n}u_i^{-t_i})^d_x
gdv∗(∏i=1nui−ti)xd。最终有:
4)为了证明prover确实知道在上一步中引入的
r
v
和
d
v
r_v和d_v
rv和dv【引入
r
v
r_v
rv用于hiding
V
d
V_d
Vd,引入
d
v
d_v
dv用于hiding
U
U
U】,仍然接用sigma-protocol有:
Prover:
C
1
=
c
o
m
c
k
(
r
v
;
r
1
)
,
C
2
=
c
o
m
c
k
(
d
v
;
r
2
)
C_1=com_{ck}(r_v;r_1),C_2=com_{ck}(d_v;r_2)
C1=comck(rv;r1),C2=comck(dv;r2),发送
C
1
和
C
2
C_1和C_2
C1和C2。
Verifier:Challenge
e
e
e。
Prover:计算
f
v
=
e
r
v
+
d
v
,
z
v
=
e
r
1
+
r
2
f_v=er_v+d_v,z_v=er_1+r_2
fv=erv+dv,zv=er1+r2,发送
f
v
和
z
v
f_v和z_v
fv和zv。
Verifier:验证
C
1
e
C
2
=
c
o
m
c
k
(
f
v
;
z
v
)
C_1^eC_2=com_{ck}(f_v;z_v)
C1eC2=comck(fv;zv)成立即可。
至此,所有环节均已证明完成,所有算法细节如下:
5. 优化及性能对比
5.1 优化
可从以下维度进行优化:
- Adjusting the Key Length of the Commitment Scheme
- Batch Verification
- Online/Offline
- Multi-Exponentiation Techniques
- Reducing the Length of the Exponents
- Picking the Challenges
- Parallel Shuffling
- Selecting the Cryptosystem for a Mix-Net
