文章目录
- 前言
- 一、多维特征
- 二、多变量梯度下降
- 1.特征缩放
- 2.学习率
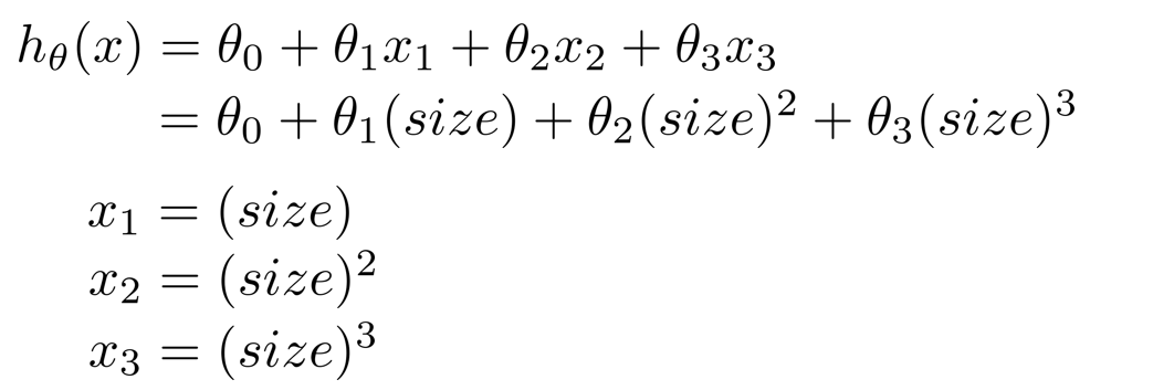
- 三、多项式回归
- 1.特征选择
- 2.正规方程
- 3.正规方程不可逆性
- 4.推导证明
- 总结
一、多维特征
在前面只探讨了单变量/特征的回归模型,然而,在实际生活中,多重因素构成一个含有多个变量的模型,模型中的特征为(𝑥1, 𝑥1, . . . , 𝑥𝑛)
eg:
在实际生活中,有卧室的数量,楼层的数量…都会影响房价的
符号约定:
n : 特征的数量
𝑥(𝑖) : 第 𝑖 个训练实例,是特征矩阵中的第𝑖行,是一个向量( vector)
x
j
(
i
)
:
特
征
矩
阵
中
第
𝑖
行
的
第
𝑗
个
,
第
𝑖
个
训
练
实
例
的
第
𝑗
个
特
征
x_j^{(i)} :特征矩阵中第 𝑖 行的第 𝑗个,第 𝑖 个训练实例的第 𝑗 个特征
xj(i):特征矩阵中第i行的第j个,第i个训练实例的第j个特征
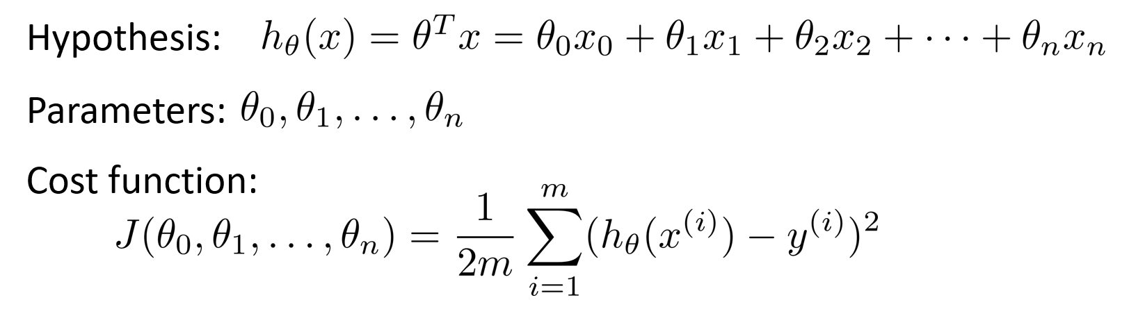
支持多变量的假设函数h: ℎ𝜃(𝑥) = 𝜃0 + 𝜃1𝑥1 + 𝜃2𝑥2+. . . +𝜃𝑛𝑥𝑛
第 二 个 样 本 的 第 二 个 特 征 和 第 三 个 特 征 : 𝑥 2 ( 2 ) = 3 , 𝑥 3 ( 2 ) = 2 第二个样本的第二个特征和第三个特征:𝑥_2^{(2)} = 3, 𝑥_3^{(2)} = 2 第二个样本的第二个特征和第三个特征:x2(2)=3,x3(2)=2
假设函数中有𝑛 + 1个参数和𝑛个变量,为了使得公式能够简化,引入𝑥0 = 1,则公式为: ℎ𝜃(𝑥) = 𝜃0𝑥0 + 𝜃1𝑥1 + 𝜃2𝑥2+. . . +𝜃𝑛𝑥𝑛
此时模型中的参数是一个𝑛 + 1维的向量,任何一个训练实例也都是𝑛 + 1维的向量,特征矩阵𝑋的维度是 𝑚 ∗ (𝑛 + 1)。 所以公式可以简化为:ℎ𝜃(𝑥) = 𝜃^𝑇𝑋,其中上标𝑇代表矩阵转置
二、多变量梯度下降
与单变量线性回归一样的,在多变量线性回归中,构建一个代价函数,则代价函数是所有建模误差的平方和,以下是假设函数和代价函数
在多变量线性回归中,目标和单变量线性回归问题中一样,是要找出使得代价函数最小的一系列参数
多变量线性回归的批量梯度下降算法为:
单变量线性回归与多变量线性回归对比:
开始随机选择一系列的参数值,计算所有的预测结果后,再给所有的参数一个新的值,如此循环直到收敛
代码
def computeCost(X, y, theta):
inner = np.power(((X * theta.T) - y), 2)
return np.sum(inner) / (2 * len(X))
1.特征缩放
对于处理多维特征问题,若保证了这些特征都具有相近的尺度,这将帮助梯度下降算法更快地收敛
eg:
假设有两个特征,房屋的尺寸和房间的数量,尺寸的值为 0-2000 平方英尺,房间数量的值则是 0-5,以两个参数分别为横纵坐标,绘制代价函数的等高线图,如图,图像显得很扁,梯度下降算法需要迭代多次才能收敛
特征缩放:将所有特征的尺度都尽量缩放到-1 到 1 之间
在概率论中,归一化:𝑥𝑛 = (𝑥𝑛−𝜇𝑛)/ 𝑠𝑛,其中 𝜇𝑛是平均值, 𝑠𝑛是标准差
2.学习率
梯度下降算法收敛所需要的迭代次数根据模型的不同而不同,不能提前预知,可以绘制迭代次数和代价函数的图表来观测算法在何时趋于收敛
也可以通过自动测试是否收敛的方法,例如将代价函数的变化值与某个阀值(例如 0.001)进行比较
一般推荐使用第一种画代价函数的图像,更直观,效果更好
前面我们知道梯度下降算法的每次迭代受到学习率的影响,如果学习率𝑎过小,则达到收敛所需的迭代次数会非常高;如果学习率𝑎过大,每次迭代可能不会减小代价函数,可能会越过局部最小值导致无法收敛,通常可以考虑尝试些学习率:𝛼 = 0.01, 0.03, 0.1, 0.3, 1, 3, 10 缓慢增加
三、多项式回归
1.特征选择
通过定义新的特征,可能会得到一个更好地模型
eg: 假设两个特征,分别是房子临街的宽度(frontage)和垂直宽度(depth),则可以建立一个线性回归模型:
但是当在运用线性回归时,不一定非要使用直接给出的x1 , x2,可以定义一个新的特征,例如在上述预测房价的例子中,可以认为能够决定房子大小的是所拥有的土地面积的大小,因此定义一个新特征area=𝑓𝑟𝑜𝑛𝑡𝑎𝑔𝑒 ∗ 𝑑𝑒𝑝𝑡ℎ, 则假设函数为:ℎ𝜃(𝑥) = 𝜃0 + 𝜃1𝑥
线性回归并不适用于所有数据,有时需要曲线来适应数据集,比如下图的数据集,如果用直线来拟合效果会很差的。
在上图中二次函数对数据前半段拟合的很好,但是后半段由于二次函数的性质,曲线下降,不能很好地拟合后半段数据,所以这里三次或者多元函数更适合。可以使用多元线性回归(multiple linear regression)的方法将模型与数据进行拟合
另外,可以令:𝑥^2 = 𝑥2, 𝑥^3 = 𝑥3,从而将模型转化为线性回归模型
2.正规方程
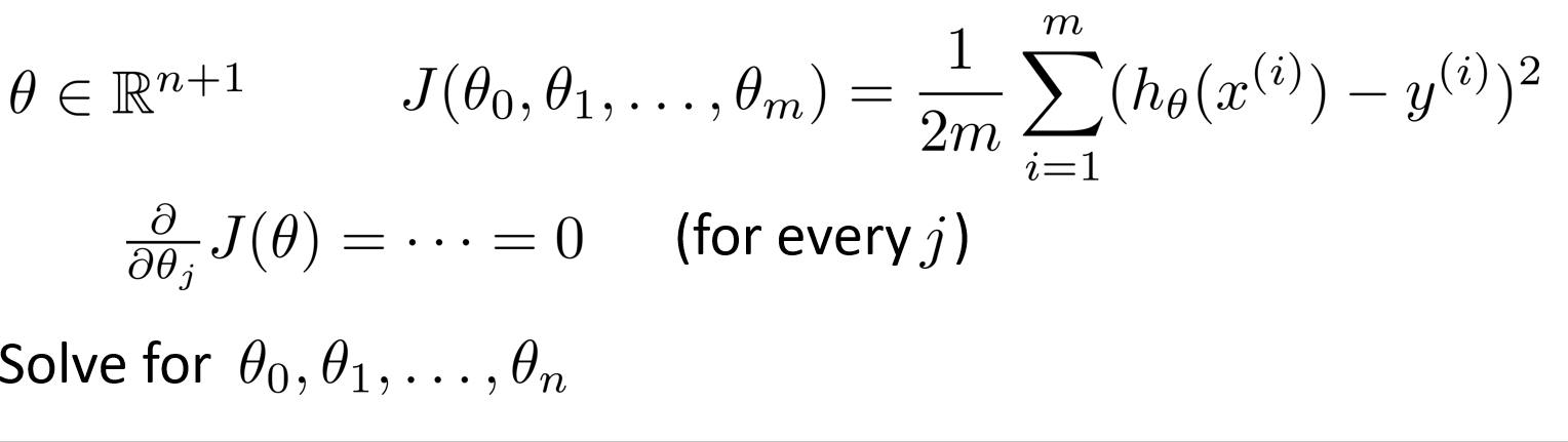
前面,都是使用梯度下降算法,去解决代价函数最小化问题,但是对于某些线性回归问题,使用正规方程(只需要一步就能得到最优值)可以更加简便。
正规方程是通过求解导数值为0的方程来找出使得代价函数最小的参数的,但是,参数𝜃一般不是一个实数,而是一个n+1维的向量,代价函数是这个向量的函数,将它的导数全部置0,求出全部的𝜃
假设训练集特征矩阵为 𝑋(包含了 𝑥0 = 1)并且训练集结果为向量 𝑦,则利用正规方程解出向量 𝜃 = (𝑋𝑇 𝑋)(−1)𝑋𝑇𝑦
注:上标 T 代表矩阵转置,上标-1 代表矩阵的逆
eg:
数据集
了在上述数据中实现正规方程法,要在数据集中加上一列,以对应额外的特征变量x0
构建矩阵X ,它包含了训练样本的所有特征变量,以及向量y, 它包含了所有的预测值
则矩阵X和向量y通过下面的公式来计算使得代价函数最小化的θ
即:
矩阵X称为设计矩阵(design matrix),构建设计矩阵的方法,就是取第一个训练样本,也就是第一个向量,取它的转置,作为设计矩阵的第一行,以此类推
注:要在数据集中加上一列,以对应额外的特征变量x0
梯度下降与正规方程的比较:
只要特征变量的数目并不大,标准方程是一个很好的计算参数𝜃的替代方法。具体地说,只要特征变量数量小于一万,通常使用标准方程法,而不使用梯度下降法
正规方程的 python 实现:
import numpy as np
def normalEqn(X, y):
theta = np.linalg.inv(X.T@X)@X.T@y # X.T@X 等价于 X.T.dot(X)
return theta
3.正规方程不可逆性
求解正规方程中参数θ的公式中,需要求矩阵(XT X )可逆,但是,如果不可能用这种方法求解,程序还是会解出正确的解
矩阵不可逆通常有两种最常见的原因
(1)特征值相关联,即𝑥1 = 𝑥2 ∗k
(2)特征值过多(在样本𝑚小于或等于特征值 n 的时候)
eg:
在预测住房价格时,如果𝑥1是以英尺为尺寸规格计算的房子, 𝑥2是以平方米为尺寸规格计算的房子(1 米等于3.28 英尺),这两个特征值将始终满足约束: 𝑥1 = 𝑥2 ∗(3.28)2,可以用一个线性方程,来描述两个相关联的特征值,矩阵𝑋′𝑋将是不可逆的
eg:
有𝑚等于 10 个的训练样本和有𝑛等于 100 的特征数量,要找到适合的(𝑛 + 1) 维参数矢量𝜃,尝试从 10 个训练样本中找到满足 101 个参数的值,花费的代价大
使用小数据样本以得到101 个参数,通常会使用一种叫做正则化的线性代数方法,通过删除某些特征或者是使用某些技术,来解决当𝑚比𝑛
小的时候的问题
当发现的矩阵𝑋′𝑋的结果是奇异矩阵,或者找到的其它矩阵是不可逆的,首先应该通过观察所有特征检查是否有多余的特征(𝑥1和𝑥2是线性相关的,互为线性函数),如果有多余的就删除掉,直到他们不再是多余的为止,如果特征数量实在太多,删除一些用较少的特征来反映尽可能多内容, 否则会考虑使用正规化方法
4.推导证明
