如何识别、分析并理解图片、视频等数据是计算机视觉的一个核心问题,全连接层在处理高维度的图片、 视频数据时往往出现网络参数量巨大,训练非常困难的问题。通过利用局部相关性和权值共享的思想。
Yann Lecun 在 1986 年提出了卷积神经网络(Convolutional Neural Network, 简称 CNN)。随着深度学习的兴盛,卷积神经网络在计算机视觉中的表现大大地超越了其它算法模型,呈现统治计算机视觉领域之势。这其中比较流行的模型有用于图片分类的 AlexNet、 VGG、 GoogLeNet、ResNet、 DenseNet 等,用于目标识别的 RCNN、 Fast RCNN、 Faster RCNN、 Mask RCNN、YOLO、 SSD 等
首先来分析全连接网络存在的问题。 考虑一个简单的 4 层全连接层网络,输入是28 × 28打平后为 784 节点的手写数字图片向量,中间三个隐藏层的节点数都是 256,输出层的节点数是 10
统计参数量:对于每条线连接线的权值标量,视为一个参数,所以对输入节点数为n,输出节点数为m的全连接层,𝑾张量包含的参数量共有𝑛 ∙ 𝑚个, 𝒃向量包含的参数量有𝑚个, 则全连接层的总参数量为𝑛 ∙ 𝑚 + 𝑚。以第一层为例,输入特征长度为 784, 输出特征长度为 256, 当前层的参数量为 784 ∙ 256 + 256 = 200960 , 同样的方法可以计算第二、 三、 四层的参数量分别为: 65792、 65792、 2570 ,总参数量约 34 万个。如果将单个权值保存为 float 类型的变量,至少需要占用 4 个字节内存(Python 语言中float 占用内存更多),这仅仅是要训练的参数,还有梯度信息,输入,中间结果等等。随着层数的增加,无疑会占用更多的计算机资源,训练效率变低。
一、卷积运算在信号处理领域, 1D 连续信号的卷积运算被定义两个函数的积分: 函数𝑓(𝜏)、 函数 𝑔(𝜏), 其中𝑔(𝜏)经过了翻转𝑔(-𝜏)和平移后变成𝑔(𝑛 - 𝜏)。 卷积的“卷”是指翻转平移操 作,“积”是指积分运算, 1D 连续卷积定义为:
离散卷积将积分运算换成累加运算:
在计算机视觉中,卷积运算基于 2D 图片函数𝑓(𝑚 𝑛)和 2D 卷积核𝑔(𝑚 𝑛), 其中𝑓(𝑖 𝑗)和𝑔(𝑖 𝑗)仅在各自窗口有效区域存在值,其它区域视为 0,如图所示。 此时的 2D 离散卷积定义为:
首先,将卷积核𝑔(𝑖 𝑗)函数翻转(沿着𝑥和𝑦方向各翻转一次),变成𝑔(-𝑖 -𝑗)。当(𝑚 𝑛) = (-1, -1 )时, 𝑔(- 1- 𝑖 ,-1 - 𝑗)表示卷积核函数翻转后再向左、向上各平移一个单元,此时
2D 函数只在𝑖 ∈[-1,1] 𝑗 ∈ [-1,1] 存在有效值,其它位置为 0。 按照计算公式,我们可以得到 𝑓⨂𝑔 (-1 ,-1 ) =7 :
(𝑚, 𝑛) = (0 ,-1 )时, 即卷积核翻转后再向上平移一个单元后对应位置相乘累加, 𝑓⨂𝑔 (0 ,-1 ) = 7,
当(𝑚 𝑛) = (1, -1 )时,即卷积核翻转后再向右、 向上各平移一个单元后对应位置相乘累加, 𝑓⨂𝑔 (1, -1 ) =1 ,
按照此种方式循环计算,可以计算出函数 𝑓⨂𝑔 (𝑚 ,𝑚) 𝑚 ∈[ -1,1] 𝑛 ∈[ -1,1] 的所有值,
在深度学习中,函数𝑔(𝑚, 𝑛)统一称为卷积核(Kernel), 有时也叫 Filter、 Weight。每次通过移动卷积核,并与图片对应位置处的感受野像素相乘累加,得到此位置的输出值。卷积核即是行、列为𝑘大小的权值矩阵𝑾,对应到特征图上大小为𝑘的窗口即为感受野(局部相关性),感受野与权值矩阵𝑾相乘累加,得到此位置的输出值。在每次计算时,均使用相同的权值矩阵𝑾,也称为权值共享
二、卷积层卷积神经网络通过充分利用局部相关性和权值共享的思想,大大地减少了网络的参数量, 从而提高训练效率,更容易实现超大规模的深层网络
1.单通道输入和单卷积核以输入𝑿为 5× 5的矩阵,卷积核为3 × 3的矩阵为例,与卷积核同大小的感受野(输入𝑿上方的绿色方框)首先移动至输入𝑿最左上方, 选中输入𝑿上3 × 3的感受野元素,与卷积核(图片中间3 × 3方框)对应元素相乘,得到标量7,写入输出矩阵第一行,第一列。完成第一个感受野区域的特征提取后,感受野窗口向右移动一个步长单位(Strides, 记为𝑠=1, 默认为 1),选中图绿色方框中的 9 个感受野元素,按照同样的计算方法,与卷积核对应元素相乘累加,得到输出 10, 写入第一行、第二列位置。继续向右移动,完成计算,写入第一行、第三列位置。
此时感受野已经移动至输入𝑿的有效像素的最右边, 无法向右边继续移动(在不填充无效元素的情况下), 因此感受野窗口向下移动一个步长单位(𝑠 =1 ), 并回到当前行的行首位置,向下移动一个步长单位,继续选中新的感受野元素区域, 与卷积核运算得到输出-1,写入第二行、第一列位置。
按照上述方法, 每次感受野向右移动𝑠 = 1个步长单位,若超出输入边界,则向下移动𝑠 = 1个步长单位, 并回到行首,直到感受野移动至最右边、 最下方位置。每次选中的感受野区域元素,和卷积核对应元素相乘累加,并写入输出的对应位置。最终输出得到一个3 × 3的矩阵。比输出矩阵略小,这是因为感受野不能超出元素边界的缘故。卷积运算的输出矩阵大小由卷积核的大小𝑘,输入𝑿的高宽ℎ/𝑤, 移动步长𝑠, 是否填充等因素共同决定
2.多通道输入和单卷积核在多通道输入的情况下, 卷积核的通道数需要和输入𝑿的通道数量相匹配, 卷积核的第𝑖个通道和𝑿的第𝑖个通道运算,得到第𝑖个中间矩阵,此时可以视为单通道输入与单卷积核的情况, 所有通道的中间矩阵对应元素再次相加, 作为最终输出
在初始状态,每个通道上面的感受野窗口同步落在对应通道上面的最左边、最上方位置,每个通道上感受野区域元素与卷积核对应通道上面的矩阵相乘累加, 分别得到三个通道上面的输出 7、-11、 -1 的中间变量, 这些中间变量相加得到输出-5, 写入对应位置。
感受野窗口同步在𝑿的每个通道上向右移动𝑠 = 1个步长单位,每个通道上面的感受野与卷积核对应通道上面的矩阵相乘累加,得到中间变量 10、 20、 20,全部相加得到输出 50, 写入第一行、第二列元素位置
以此方式同步移动感受野窗口,直至最右边、 最下方位置,此时全部完成输入和卷积核的卷积运算,得到3 × 3的输出矩阵
输入的每个通道处的感受野均与卷积核的对应通道相乘累加,得到与通道数量相等的中间变量,这些中间变量全部相加即得到当前位置的输出值。 输入通道的通道数量决定了卷积核的通道数。 一个卷积核只能得到一个输出矩阵,无论输入𝑿的通道数量。
3.多通道输入和多卷积核一般来说,一个卷积核只能完成某种逻辑的特征提取,当需要同时提取多种逻辑特征时, 可以通过增加多个卷积核来得到多种特征,提高神经网络的表达能力
当出现多卷积核时, 第𝑖 (𝑖 ∈[1, 𝑛] , 𝑛为卷积核个数)个卷积核与输入𝑿运算得到第𝑖个输出矩阵(也称为输出张量𝑶的通道𝑖), 最后全部的输出矩阵在通道维度上进行拼接(Stack 操作,创建输出通道数的新维度),产生输出张量𝑶, 𝑶包含了𝑛个通道数。
如图 3个通道输入、 2 个卷积核的卷积层,第一个卷积核与输入𝑿运算得到输出𝑶的第一个通道,第二个卷积核与输入𝑿运算得到输出𝑶的第二个通道,输出的两个通道拼接在一起形成了最终输出𝑶。 每个卷积核的大小𝑘、 步长𝑠、 填充设定等都是统一设置, 这样才能保证输出的每个通道大小一致,从而满足拼接的条件
总之,卷积层的作用:提取输入图片中的信息,这些信息被称为图像特征,这些特征是由图像中的每个像素通过组合或者独立的方式所体现,用它来进行特征提取。
注:感受野的深度必须和输入图像的深度相同
4.步长步长(stride):窗口一次滑动的长度。感受野密度的控制手段一般是通过移动步长(Strides)实现的。
通过设定步长𝑠,可以有效地控制信息密度的提取。当步长设计的较小时,感受野以较小幅度移动窗口,有利于提取到更多的特征信息,输出张量的尺寸也更大;当步长设计的较大时, 感受野以较大幅度移动窗口,有利于减少计算代价, 过滤冗余信息,输出张量的尺寸也更小
将步长设置为2,得到输出矩阵2X2,对比前面的s=1,感受野的数量减速了4个
经过卷积运算后的输出𝑶的高宽一般会小于输入𝑿的高宽, 即使是步长𝑠 = 时,输出𝑶的高宽也会略小于输入𝑿高宽。 在网络模型设计时,有时希望输出𝑶的高宽能够与输入𝑿的高宽相同, 从而方便网络参数的设计、 残差连接等。 为了让输出𝑶的高宽能够与输入𝑿的相等, 一般通过在原输入𝑿的高和宽维度上面进行填充(Padding)若干无效元素操作,得到增大的输入𝑿′。 通过精心设计填充单元的数量, 在𝑿′上面进行卷积运算得到输出𝑶的高宽可以和原输入𝑿相等。另一个原因是为了提前边缘特征,提高边缘信息的权重,在中间的信息有的会被重复利用几次。
通过精心设计的 Padding,即上下左右各填充一个单位,记为𝑝 = 1,可以得到输出𝑶和输入𝑿的高、 宽相等的结果
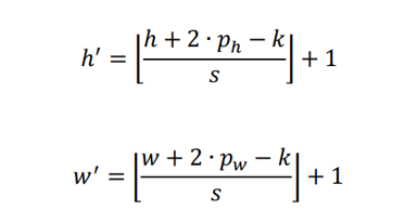
卷积神经层的输出尺寸[b,ℎ,′ 𝑤′, 𝑐𝑜𝑢𝑡] 由卷积核的数量𝑐𝑜𝑢𝑡,卷积核的大小𝑘,步长𝑠,填充数𝑝(只考虑上下填充数量𝑝h相同,左右填充数量𝑝𝑤相同的情况)以及输入𝑿的高宽ℎ/𝑤共同决定, 它们之间的数学关系可以表达为: 其中𝑝ℎ、 𝑝𝑤分别表示高、宽方向的填充数量, ⌊∙⌋表示向下取整
在 TensorFlow 中, 在𝑠 = 1时, 如果希望输出𝑶和输入𝑿高、 宽相等, 只需要简单地设置参数 padding=”SAME” 即可使 TensorFlow 自动计算 padding 数量,非常方便
三、池化层在卷积层中, 可以通过调节步长参数𝑠实现特征图的高宽成倍缩小,从而降低了网络的参数量。除了通过设置步长,还有一种专门的网络层--池化层(Pooling Layer)可以实现尺寸缩减功能
池化层基于局部相关性的思想,通过从局部相关的一组元素中进行采样或信息聚合,从而得到新的元素值。最大池化层(Max Pooling)从局部相关元素集中选取最大的一个元素值,平均池化层(Average Pooling)从局部相关元素集中计算平均值并返回。
以5×5 输入𝑿的最大池化层为例,池化感受野窗口大小𝑘 = 2,步长𝑠 = 的情况。绿色虚线方框代表第一个感受野的位置,在最大池化采样的方法下,通过 x' = max{1,-1,-1,-2} = 1,输出值为1并在相应的位置写上1。若采用的是平均池化操作,则此时的输出值应为𝑥′ = avg({ 1,-1, -1, -2}) = - 0.75。逐渐移动感受野窗口至最右边,获得最大池化层的输出。
由于池化层没有需要学习的参数,计算简单, 并且可以有效减低特征图的尺寸,非常适合图片这种类型的数据,在计算机视觉相关任务中得到了广泛的应用
通过精心设计池化层感受野的高宽𝑘和步长𝑠参数,可以实现各种降维运算。一种常用的池化层设定是感受野大小𝑘 = 2,步长𝑠 = 2,这样可以实现输出只有输入高宽一半的目的。但是一般会在下一个卷积层,卷积核的数量翻倍,为了弥补池化层压缩特征信息
池化层:对输入的特征图进行压缩,一方面使特征图变小,简化网络计算复杂度;一方面进行特征压缩,提取主要特征
四、BatchNorm 层卷积神经网络的出现,网络参数量大大减低,使得几十层的深层网络成为可能。然而,在残差网络出现之前,网络的加深使得网络训练变得非常不稳定, 甚至出现网络长时间不更新甚至不收敛的现象,同时网络对超参数比较敏感,超参数的微量扰动也会导致网络的训练轨迹完全改变
这是基于参数标准化设计了 Batch Nomalization(简写为 BatchNorm,或 BN)层 。 BN 层使得网络的超参数的设定更加自由,比如更大的学习率、 更随意的网络初始化等,同时网络的收敛速度更快,性能也更好。 卷积层、 BN 层、 ReLU 层、池化层一度成为网络模型的标配单元块,通过堆叠 Conv-BN-ReLU-Pooling 方式往往可以获得不错的模型性能。
对网络中的数据进行标准化的原因:
如Sigmoid 激活函数和它的梯度分布,Sigmoid 函数在𝑥 ∈[-2 2] 区间的导数值在[0.1,0.25] 区间分布;当𝑥 > 2 或𝑥 < -2时, Sigmoid 函数的导数变得很小,逼近于 0,从而容易出现梯度弥散现象。为了避免因为输入较大或者较小而导致Sigmoid 函数出现梯度弥散现象,将函数输入𝑥标准化映射到 0 附近的一段较小区间将变得非常重要,通过标准化重映射后,值被映射在 0 附近,此处的导数值不至于过小,从而不容易出现梯度弥散现象
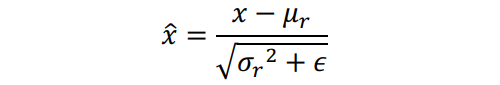
网络层输入𝑥分布相近, 并且分布在较小范围内时(如 0 附近),更有利于函数的优化。通过数据标准化操作可以将数据𝑥映射到𝑥̂:
其中𝜇𝑟、 𝜎𝑟2来自统计的所有数据的均值和方差, 𝜖是为防止出现除 0 错误而设置的较小数字
在基于 Batch 的训练阶段,考虑Batch 内部的均值𝜇𝐵和方差𝜎𝐵2,可以视为近似于𝜇𝑟,𝜎𝑟2
在测试阶段,根据记录的每个 Batch 的𝜇𝐵, 𝜎𝐵2估计出所有训练数据的𝜇𝑟,𝜎𝑟2,
标准化运算并没有引入额外的待优化变量, 𝜇𝑟,𝜎𝑟2和𝜇𝐵,𝜎𝐵2均由统计得到,不需要参与梯度更新。为了提高 BN 层的表达能力, BN 层作者引入了“scale andshift”技巧,将𝑥̂变量再次映射变换:𝑥̃ = 𝑥̂ ∙ 𝛾 + 𝛽。其中𝛾参数实现对标准化后的𝑥̂再次进行缩放, 𝛽参数实现对标准化的𝑥̂进行平移, 不同的是, 𝛾、 𝛽参数均由反向传播算法自动优化,实现网络层“按需”缩放平移数据的分布的目的
