博弈学习引出:用一个漫画家的成长轨迹来形象介绍生成对抗网络的思想:一对双胞胎兄弟, 分别称为老二G和老大 D, G 学习如何绘制漫画, D 学习如何鉴赏画作。在年幼时代G,D,尚且只学会了如何使用画笔和纸张, G 绘制了一张不明所以的画作,如图(a)所示,由于此时 D 鉴别能力不高, 觉得 G 的作品还行,但是人物主体不够鲜明。 在D 的指引和鼓励下, G 开始尝试学习如何绘制主体轮廓和使用简单的色彩搭配。
随之G 提升了绘画的基本功, D 也过分析名作和初学者 G 的作品, 初步掌握了鉴别作品的能力。 此时 D 觉得 G 的作品人物主体有了,如图 (b), 但是色彩的运用还不够成熟。
数年后, G 的绘画基本功已经很扎实了,可以轻松绘制出主体鲜明、颜色搭配合适和逼真度较高的画作, 如图 (c), 但是 D 同样通过观察 G 和其它名作的差别, 提升了画作鉴别能力, 觉得 G 的画作技艺已经趋于成熟,但是对生活的观察尚且不够,作品没有传达神情且部分细节不够完美。
又过了数年, G 的绘画功力达到了炉火纯青的地步,绘制的作品细节完美、 风格迥异、 惟妙惟肖,宛如大师级水准,如图(d),即便此时的D 鉴别功力也相当出色, 亦很难将 G 和其他大师级的作品区分开来
一、GAN原理
画家的成长历程是生活中普遍存在的学习过程,通过双方的博弈学习,相互提高,最终达到一个平衡点。GAN 网络借鉴了博弈学习的思想,分别设立了两个子网络:负责生成样本的生成器 G 和负责鉴别真伪的鉴别器 D。生成器 G是画家,鉴别器 D鉴别家。 鉴别器 D通过观察真实的样本和生成器 G 产生的样本之间的区别, 学会如何鉴别真假,其中真实的样本为真,生成器 G 产生的样本为假。生成器 G 同样也在学习, 它希望产生的样本能够获得鉴别器 D 的认可,即在鉴别器 D 中鉴别为真,因此生成器 G 通过优化自身的参数,尝试使得自己产生的样本在鉴别器 D 中判别为真
生成器 G 和鉴别器 D 相互博弈,共同提升,直至达到平衡点。使生成器 G 生成的样本非常逼真, 鉴别器 D 真假难分。
1.网络结构
生成对抗网络包含了两个子网络: 生成网络(Generator, 简称 G)和判别网络(Discriminator, 简称 D), 其中生成网络 G 负责学习样本的真实分布,判别网络 D 负责将生成网络采样的样本与真实样本区分开来
生成网络G(𝒛)
生成网络 G 和自编码器的 Decoder 功能类似, 从先验分布中采样隐藏变量,通过生成网络 G 参数化的分布, 获得生成样本, 其中隐藏变量𝒛的先验分布可以假设为某中已知的分布,比如多元均匀分布。
可以用深度神经网络来参数化,从均匀分布中采样出隐藏变量𝒛, 经过多层转置卷积层网络参数化的分布中采样出样本。 从输入输出层面来看,生成器 G 的功能是将隐向量𝒛通过神经网络转换为样本向量,下标𝑓代表假样本(Fake samples)。
补充:先验分布:是概率分布的一种,与“后验分布”相对。与试验结果无关,或与随机抽样无关,反映在进行统计试验之前根据其他有关参数θ的知识而得到的分布。在进行观察以获得样本之前,人们对θ也会有一些知识。因为是在试验观察之前,故称之为先验知识。因此,应该把θ看作是随机变量。θ的分布函数记为H(θ),θ的密度函数记为h(θ),分别称为先验分布函数和先验密度数,两者合称为先验分布
判别网络D(𝒙)
判别网络和普通的二分类网络功能类似,它接受输入样本𝒙的数据集,包含了采样自真实数据分布的样本,也包含了采样自生成网络的假样本, 和共同组成了判别网络的训练数据集。判别网络输出为𝒙属于真实样本的概率𝑃(𝒙为真|𝒙),把所有真实样本的标签标注为真(1);所有生成网络产生的样本标注为假(0), 通过最小化判别网络 D 的预测值与标签之间的误差来优化判别网络参数
转置卷积(Transposed Convolution)
转置卷积(Transposed Convolution或 Fractionally Strided Convolution),也称反卷积(Deconvolution), 实际上反卷积在数学上定义为卷积的逆过程,但转置卷积并不能恢复出原卷积的输入,因此称为反卷积并不妥当。通过在输入之间填充大量的 padding 来实现输出高宽大于输入高宽的效果,从而实现向上采样的目的
输入为2 × 2的单通道特征图,转置卷积核为3 × 3大小,步长𝑠 = 2,填充𝑝 = 0的。首先在输入数据点之间均匀插入s-1个空白数据点,得到3 × 3的矩阵,第 2 个矩阵所示,根据填充量在3 × 3矩阵周围填充相应𝑘 - 𝑝 -1 = 3 -0 -1 = 2行/列,此时输入张量的高宽为 7×7 , 如图中第 3 个矩阵所示
在 7×7 的输入张量上,进行3 × 3卷积核,步长𝑠′ = 1,填充𝑝 = 0的普通卷积运算(注意,此阶段的普通卷积的步长𝑠′始终为 1,与转置卷积的步长𝑠不同), 根据普通卷积的输出计算公式, 得到输出大小为,即5x5的输出。转置卷积输出与输入关系:
在𝑜 +2𝑝 - 𝑘为 s 倍数时,满足关系:𝑜 = (𝑖 -1 )𝑠 + 𝑘 - 2𝑝
转置卷积并不是普通卷积的逆过程,但是二者之间有一定的联系,同时转置卷积也是基于普通卷积实现的。在相同的设定下,输入𝒙经过普通卷积运算后得到𝒐 = Conv(𝒙);将𝒐送入转置卷积运后,得到𝒙′ = ConvTranspose(𝒐),其中𝒙′ ≠ 𝒙,但是𝒙′与𝒙形状相同。转置卷积与普通卷积并不是互为逆过程,不能恢复出对方的输入内容,仅能恢复出等大小的张量。
转置卷积的转置是指卷积核矩阵𝑾产生的稀疏矩阵𝑾′在计算过程中需要先转置,再进行矩阵相乘运算,而普通卷积并没有转置𝑾′的步骤, 这也是它被称为转置卷积的名字由来
𝑿和𝑾,需要根据 strides 将卷积核在行、列方向循环移动获取参与运算的感受野的数据, 串行计算每个窗口处的“相乘累加” 值,计算效率极低。为了加速运算,在数学上可以将卷积核𝑾根据 strides 重排成稀疏矩阵𝑾′, 再通过𝑾′@𝑿′一次完成运算, 实际上, 𝑾′矩阵过于稀疏, 导致很多无用的 0 乘运算。
以 4 行 4 列的输入𝑿, 高宽为3 × 3, 步长为 1,无 padding 的卷积核𝑾的卷积运算为例,首先将𝑿打平成𝑿′
然后将卷积核𝑾转换成稀疏矩阵𝑾′
此时通过一次矩阵相乘即可实现普通卷积运算:𝑶′ = 𝑾′@𝑿。如果给定𝑶,希望能够生成与𝑿同形状大小的张量,怎么实现呢? 将𝑾′转置后与重排后的𝑶′完成矩阵相乘即可:𝑿′ = @𝑶'。得到的𝑿′通过 Reshape 操作变为与原来的输入𝑿尺寸一致,但是内容不同。
转置卷积具有“放大特征图”的功能,在生成对抗网络、语义分割等中得到了广泛应用,如 DCGAN中的生成器通过堆叠转置卷积层实现逐层“放大”特征图
在 TensorFlow 中,可以通过 nn.conv2d_transpose 实现转置卷积运算。注意转置卷积的卷积核的定义格式为 [𝑘, 𝑘, 𝑐𝑜𝑢𝑡, 𝑐𝑖𝑛] 。转置卷积也可以和其他层一样,通过 layers.Conv2DTranspose 类创建一个转置卷积层,然后调用实例即可完成前向计算。
padding需要设置,只能设置为 VALID 或者 SAME
当设置 padding=’VALID’时,输出大小表达为:𝑜 = (𝑖 - 1)𝑠 + 𝑘
当设置 padding=’SAME’时,输出大小表达为:𝑜 = 𝑖 ∙ 𝑠
i:转置卷积输入大小
s:strides, 步长
k: 卷积核大小
2 × 2的转置卷积输入与3 × 3的卷积核运算, strides=1, padding=’VALID’时, 输出大
小为:ℎ′ = 𝑤′ = (2 -1 ) ∙1 + 3 = 4
2 × 2的转置卷积输入与3 × 3的卷积核运算, strides=3, padding=’SAME’时,输出大小为:
ℎ′ = 𝑤′ = 2 ∙ 3 = 6
2.网络训练
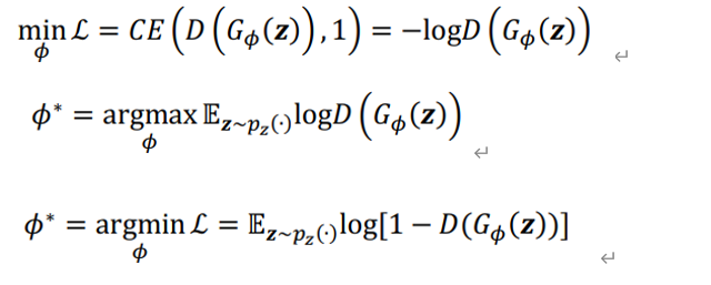
对于GAN博弈学习的思想体现在它的训练方式上,由于生成器G和判别器D的优化目标不一样,所以要分开训练生成器G和判别器D。
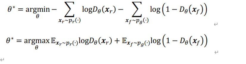
对于判别网络 D,它的目标是能够很好地分辨出真样本与假样本。以图片生成为例, 它的目标是最小化图片的预测值和真实值之间的交叉熵损失函数: ,代表真实样本𝒙𝑟在判别网络𝐷𝜃的输出, 𝜃为判别网络的参数集, 为生成样本𝒙𝑓在判别网络的输出, 𝑦𝑟为𝒙𝑟的标签,由于真实样本标注为真,故𝑦𝑟 = 1, 𝑦𝑓为生成样本的𝒙𝑓的标签,由于生成样本标注为假,故𝑦𝑓 = 0。 CE 函数代表交叉熵损失函数CrossEntropy。
由二分类问题的交叉熵损失函数定义可知:网络 D 的优化目标是
对于生成网络G(𝒛),希望𝒙𝑓 = 𝐺(𝒛)能够很好地骗过判别网络 D, 假样本𝒙𝑓在判别网络的输出越接近真实的标签越好。在训练生成网络时, 希望判别网络的输出𝐷(𝐺(𝒛))越逼近 1 越好, 最小化𝐷(𝐺(𝒛))与 1 之间的交叉熵损失函数:
把判别网络的目标和生成网络的目标合并,写成min - max博弈形式
它的做法是去最大化D的区分度,最小化G和real数据集的数据分布。
生成网络 G 最终将收敛到真实分布,即:𝑝𝑔 = 𝑝𝑟。此时生成的样本与真实样本来自同一分布,真假难辨,在判别器中均有相同的概率判定为真或假,即
二、GAN类型
1.DCGAN
最初始的 GAN 网络主要基于全连接层实现生成器 G 和判别器 D 网络,由于图片的维度较高,网络参数量巨大,训练的效果并不优秀。 DCGAN提出了使用转置卷积层实现的生成网络,普通卷积层来实现的判别网络, 大大地降低了网络参数量,同时图片的生成效果也大幅提升
2.WGAN
GAN 的训练很容易出现训练不收敛和模式崩塌的现象。 WGAN从理论层面分析了原始的 GAN 使用 JS 散度存在的缺陷,并提出了可以使用 Wasserstein距离来解决这个问题。在 WGAN-GP中, 提出了通过添加梯度惩罚项, 从工程层面很好的实现了 WGAN 算法,并且实验性证实了 WGAN 训练稳定的优点
由于JS 散度导致 GAN 训练不稳定的问题,引入了一种新的分布距离度量方法: Wasserstein 距离,也叫推土机距离(Earth-Mover Distance, 简称 EM 距离), 它表示了从一个分布变换到另一个分布的最小代价。
WGAN 的判别器 D 的训练目标为
WGAN 的生成器 G 的训练目标
